The Special Fish Report
Albert W. Small (December 1944)
Page 27 1/2
Tony Sale's
Codes and Ciphers
|
previous page
|
next page
|
index page
|
CX/MSS
TOP SECRET Special Fish Report Page 27 1/2
It is a fact, however, that Sum |x1| is usually higher than Sum (x1 with regard
to signs of the true wheel) - and therefore the more nearly accurate
value of a pip (numerically) is:
R + qX
R - qX
wherein "q" is a factor for reducing X by the amout the maximum score
may be expected to exceed the true score. This is getting involved and
I hate to break up continuity here but it is really the best place
to thrash it out.
What value shall be given "q"?
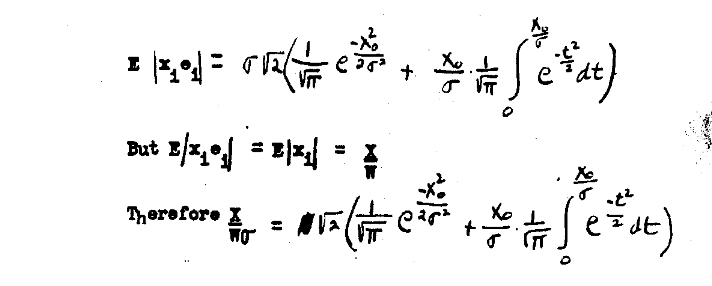
We said that x = Sum|xi|. The expected value of |xi|
my be called Sum|xi|/W wherein W = wheel length, and therefore the
expected value of |xi| (or E|xi|) = X/W.
Also, qX = correct value = Sum (xiei) (wherein ei = +1 or -1
depending on the signs of the true wheel.) Let us call Sum (xiei)/W (the
expected value of xiei) = x0 and let us call sigma xiei = sigma
Now, since |xiei| is a function of xiei (whose expected value is x0)
we can derive the following directly from the normal function:
and we may graph x0 (which is actully Sigma xiei/W) against X/W Sigma and thereby
solve for x0 and obtain Sum(xiei) which is qX.
|
previous page
|
next page
|
index page
|